虎豹等大型捕食者处于食物链的顶端,在维持生态平衡和塑造物种相互作用网络方面发挥着至关重要的作用。顶级捕食者不仅影响物种数量和分布,还通过微妙的调节机制在生态系统中创造出一种“隐形秩序”。这一深层次的调节机制是生态学研究的前沿领域。近日,我校国家林草局猫科动物研究中心姜广顺团队对顶级捕食者生态功能的研究有了新发现。在探索顶级捕食者在生态系统中作用的同时,还构建了“哺乳动物群落结构—稳定性—顶级捕食者生态功能”的多尺度理论框架,为未来哺乳动物群落的恢复和保护提供了科学依据。
在我国东北虎、豹和黑熊等顶级捕食者的种群数量曾一度减少,但随着我国天然林保护工程的实施和东北虎豹国家公园的建立,野生东北虎种群数量和栖息地面积得到了显著的恢复。顶级捕食者种群数量的恢复标志着我国生态建设获得了显著的成效,但随着保护地建设对当地居民生计的影响、人虎冲突增加,有很多人仍疑惑“为什么要保护东北虎?”造成这一困惑的主要原因是现有研究工作对它们在森林生态系统中独特的“生态功能”揭示甚少。那么,东北虎豹等顶级捕食者到底具有哪些生态功能?我国东北虎豹等顶级捕食者的回归将如何影响森林生态系统中哺乳动物群落的深层结构和动态?
姜广顺团队长期致力于虎豹保护生态研究,在我国东北地区的老爷岭、张广才岭、完达山、小兴安岭、大兴安岭和华北地区的太行山等虎豹栖息地开展了自动相机监测,依托国家林草局猫科动物研究中心虎豹监测智慧信息平台高效处理影像数据,对顶级捕食者生态功能进行了系统、深入的研究,有了新成果。
研究进展一:
成果发表于国际动物生态学顶级期刊Journal of Animal Ecology。首次从物种相互作用网络的视角揭示了这些顶级捕食者对森林哺乳动物物种相互作用网络的关键调控作用,为理解哺乳动物群落的“隐形秩序”提供了全新视角(图1)。

图1 东北虎等顶级捕食者重塑中国东北地区森林物种相互作用网络
哺乳动物群落的组成:活跃物种的识别
研究发现,森林哺乳动物群落中,物种的相互作用数量与物种本身特性和密度密切相关(图2),强调了中性网络过程和生态位过程的联合作用。例如,像野猪这样的物种,由于它们的种群数量丰富、白天活动频繁,且能适应多种环境,通常在食物链中扮演着相互作用“枢纽”的角色,连接着不同物种的相互作用关系。如果这些物种消失,当地森林生态系统的物种关系网络将受到严重影响。

图2 物种自身特征和密度对物种在哺乳动物相互作用网络中的相互作用数量的影响
顶级捕食者的生态调控效应:维护生态网络复杂性
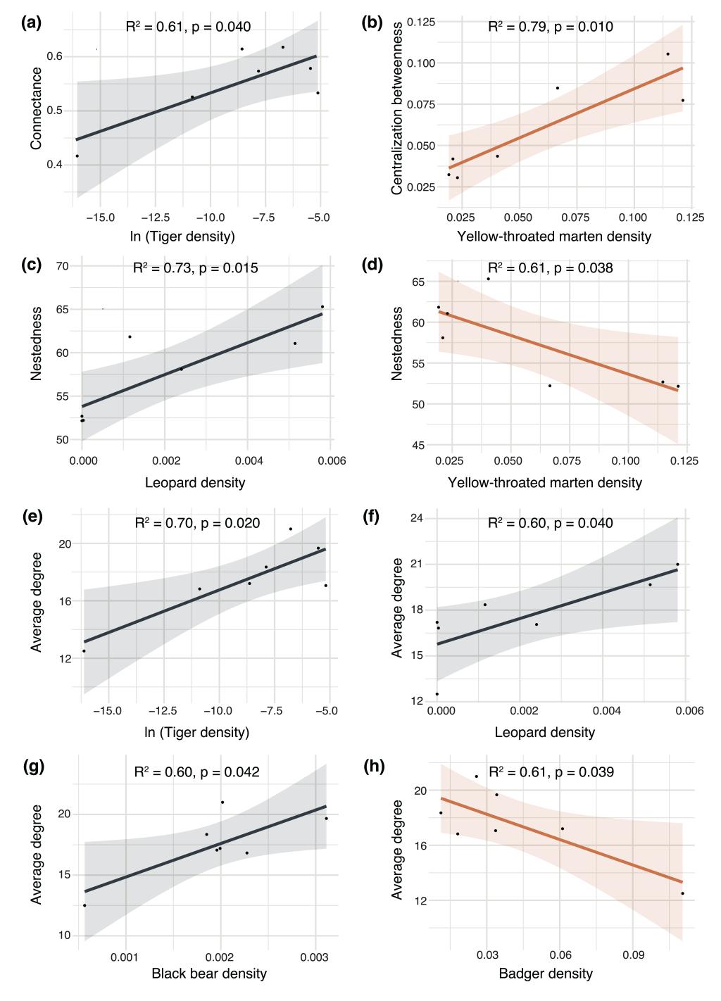
研究最引人注目的发现之一是顶级捕食者在森林生态系统中所起的“生态调控作用”。东北虎豹和黑熊活跃的区域,哺乳动物物种之间的相互作用网络表现出更高的复杂性。这些地方的物种相互作用更加频繁,每个物种与其他物种的联系更加紧密,整个网络的结构也变得更加“错综复杂”(图3)。而在中级捕食者(比如黄喉貂、獾)较为密集的区域,情况则完全不同。这里的物种关系更为松散,依赖于少数几个“关键物种”来维系整个网络(图3)。这些核心物种在网络中占据主导地位,几乎垄断了大部分的相互作用路径,进一步证明了顶级捕食者在维持生态网络的复杂性中,起着不可替代的作用。

图3 顶级捕食者和中级捕食者对哺乳动物相互作用网络属性的影响
研究还发现,顶级捕食者的存在会改变森林中物种相互作用的分布。这种变化并不是通过顶级捕食者直接捕食这些物种来实现的,很可能源于顶级捕食者引发的间接级联效应(图4)。例如,当顶级捕食者密度增加时,面临更大风险的竞争优势物种可以通过改变活动规律或活动区域来回避顶级捕食者,从而减少与其他物种的相互作用。而一些竞争力较弱的物种则可能借此机会增加与其他物种的相互作用,从而重塑了物种间的相互作用格局。这种变化也符合“恐惧景观”的概念,即顶级捕食者通过对其他物种施加“恐惧”效应,间接影响其他物种的行为和相互作用。

图4 顶级捕食者丰富的森林(TAFs)和顶级捕食者较少的森林(TLFs)中物种的平均归一化相互作用数量和密度
保护目标的升级:从数量保护到功能保护
这一研究的深远意义在于,它将生态保护的目标从单纯的物种数量保护,提升到更高维度的“生态功能保护”。传统的保护措施往往集中在顶级捕食者对猎物数量的调控。然而,本研究指出,恢复顶级捕食者不仅仅是为了保护它们的种群数量,更是为了维护生态系统中更为复杂的物种相互作用和网络结构。简而言之,恢复东北虎、豹和黑熊等顶级捕食者种群,不仅能确保它们的生存,更有助于提升整个森林生态系统的功能复杂性和稳定性。综上,本研究结果证明,在中国东北温带森林中只有顶级捕食者物种的种群数量达到一定丰度的时候能提升哺乳动物群落物种相互作用网络的复杂性。
研究进展二:
团队的另一研究成果已发表于英国皇家学会的旗舰期刊Proceedings of the Royal Society B,研究发现东北虎豹栖息地内哺乳动物群落内部的垂直结构,包括营养级丰富度和营养级之间的补偿动态,是维持群落稳定性的主要驱动因素,甚至超过了水平多样性的驱动效应。此外,外部环境因素对功能团的稳定性有复杂影响,如净初级生产力与顶级捕食者多样性和稳定性正相关,而降水量通过提升大型食草动物的均匀度增强其稳定性。资源功能团的多样性和生物量对其捕食者的稳定性有积极影响,进一步表明复杂的食物网结构有助于维持整个哺乳动物群落的长期稳定性。
研究进展三:
团队还有一项研究成果发表于国际学术期刊Science of the Total Environment,研究发现森林质量是当地东北虎豹栖息地内哺乳动物群落的重要驱动因素,通过“上行效应(Bottom-up effect)”显著影响着森林哺乳动物群落乃至人类活动。其研究结果支持“绿色世界假说(Green-world hypothesis)”和“中级捕食者释放假说(Mesopredator-release hypothesis)”,即顶级捕食者的丧失或种群缩减,会导致大型有蹄类动物和中级捕食者释放,进而间接影响了部分地面活动的小型哺乳动物类群。除此之外,人类活动也对当地哺乳动物群落有着独立的“下行效应(Top-down effect)”,而这种效应可能并不是由顶级捕食者介导的,是人类活动替代了虎豹等顶级捕食者的部分生态调控功能。
该项研究获得“十四五”国家重点研发计划“野生动物迁移扩散机制与种群管控技术”项目“东北虎迁移扩散机制与种群管控技术”课题的支持,获得的研究成果不仅为我国东北虎豹保护提供了重要的科学依据,也为未来野生动物保护与生态系统修复提供了理论支持,推动了保护策略从单一物种保护向生态系统功能提升的发展。
系列研究成果链接:
1.Wen She, Marcel Holyoak, Jiayin Gu, Jinzhe Qi, Shuyan Liu, Guangshun Jiang*, Abundant top predators increase species interaction network complexity in northeastern Chinese forests, 2025,Journal of Animal Ecology, 00, 1-15.
DOI:https://doi.org/10.1111/1365-2656.70011
2.Wen She, Jiayin Gu, Jinzhe Qi, Shuyan Liu, Xifu Yang, Zhibin Zhang, Guangshun Jiang*, External and internal driving forces of community and functional group stability in the forest mammal community, 2024,Proceedings of the Royal Society B, 291, 20240775.
DOI:https://doi.org/10.1098/rspb.2024.0775
3.Wen She, Jiayin Gu, Marcel Holyoak, Chuan Yan, Jinzhe Qi, Xinru Wan, Shuyan Liu, Lei Xu, Nathan James Roberts, Zhibin Zhang, Guangshun Jiang*, Impacts of top predators and humans on the mammal communities of recovering temperate forest regions, 2023,Science of the Total Environment, 862, 160812.
DOI:https://dx-doi-org.webvpn.nefu.edu.cn/10.1016/j.scitotenv.2022.160812